Motility of
Clostridioides difficile

Dr. Julian Schwanbeck

April 6th 2022
Göttingen

Clostridioides difficile

  • Formerly Clostridium difficile
  • Firmicutes
  • Obligate anaerobe
  • Spore forming
  • Human pathogen
  • Nosocomial infection
  • Peritrichous flagella

Picture in collaboration with PD Dr. Hoppert

The Pathogen

  • Illness is Cdifficile infection (CDI)
  • Healthy microbiome offers protection against Cdifficile
  • Cdifficile mainly infects the ascending colon
  • Toxins lead to cell lysis of epithelial cells
  • Spores are found throughout the environment

The best treatment is prevention

Failing that, current treatment options for CDI are:

  • Metronidazole
  • Vancomycin
  • Fidaxomicin
  • Feacal microbial transplant

Some numbers

Source: CDC: Antibiotic resistance threats in the United States, 2019

Bacterial Motility

  • Bacteria face a miniscule Reynolds number
  • Bacteria employ motility for a variety of reasons
    • To explore for areas to colonize
    • As a means for dispersal into the environment
    • In conjunction with chemotaxis for directed motility
  • Almost all sequenced C. difficile strains possess a chemotaxis operon
    • But not all have a functioning flagellar operon
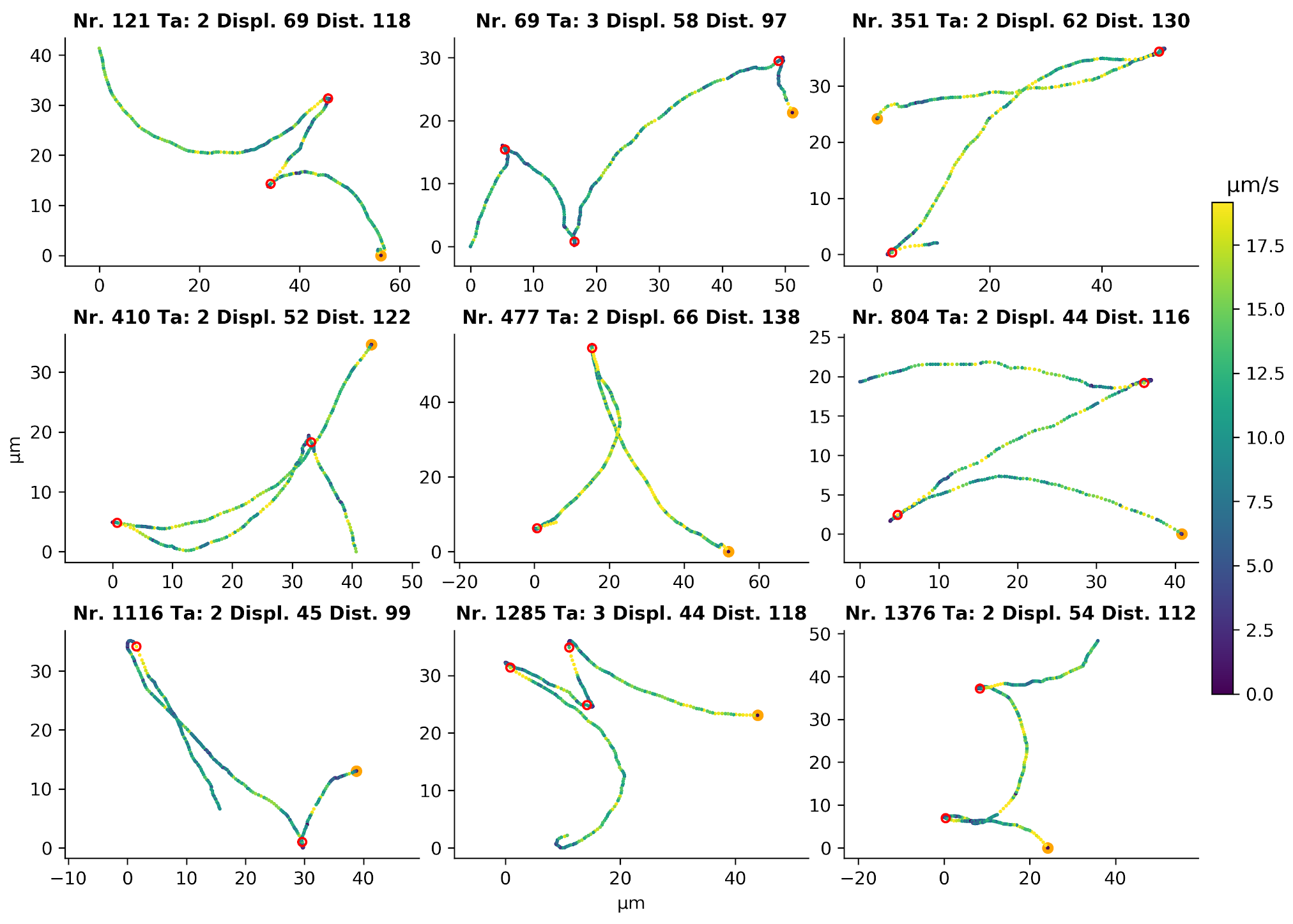
  • Analysis of motility requires observation of single cells

Motility in liquid medium

  • No noticeable
    displacement


  • Very high rate
    of trembling

Motility with Polyvinylpyrrolidone

PVP is a high molecular weight polymer

What does that imply?

Minimal Motility Media

Find the minimum set of additives
which sustain the best population wide motility

  • Amino acids:
    • Tryptophane
    • Methionine
    • Leucine
    • Valine
    • Proline
    • Isoleucine
    • Cysteine
  • Salts
  • Trace salts
  • Trace elements
  • Iron
  • Glucose

Minimal Motility Media

Motility over time

Computer Model

Thank you for your Attention

Special thanks to:

Friends & Colleagues:
Emi, Pia, Rosi, Sabrina, Rike, Ruben, Vincent, Anastasia, Tenzin, Noémie, Annika, Cera, Avi, Maik, Ruth, Hr. Zickenrott

Collaborators:
Prof. Rolf Daniel, Dr. Wolfgang Bohne, Prof. Fabian M. Commichau, Jerôme Dretzke, Carina Fischer, Katrina Funkner, Nadine Gänstaller, Prof. Uwe Groß, PD Dr. Michael Hoppert, Igor Khassanov, Anna Klassen, Kelly Libnik, Prof. Burkhard Morgenstern, Ines Oehmig, Dr. Jörg Overmann, Prof. Jörg Stülke, Prof. Andreas E. Zautner

This Project was funded by the Federal State of Lower Saxony
Niedersächsisches Vorab (VWZN2889/3215/3266)